2 Funções Químicas
2.1 Resumo
Toda representação da estrutura de uma molécula é recheada de traços, polígonos abertos e fechados, letras e números. As letras representam os elementos químicos da tabela periódica, os números representam o quanto desses elementos estão fazendo parte da molécula, e os traços, as ligações químicas existentes na molécula.
A combinação virtualmente infinita desses fatores produz toda a gama de representações gráficas de moléculas conhecidas. Cada molécula exibe propriedades físico-químicas particulares, mas muitas delas possuem semelhanças estruturais e de reatividade química.
Assim sendo, os cientistas agruparam, num determinado momento da História, as combinações mais comuns que se apresentavam em todas as moléculas conhecidas, com o intuito de poder agrupá-las em conjuntos de propriedades semelhantes, compreender a reatividade química das mesmas, e predizer o comportamento de novas moléculas, criadas de forma espontânea ou sintética. Assim surgiram as funções químicas, e dentre essas, as funções orgânicas, um sub-conjunto das primeiras, e que contém apenas moléculas que possuem o elemento carbono em alguma parte de sua estrutura. As funções orgânicas somam pouco mais de uma dúzia, e resumem, estrutural e funcionalmente, o comportamento químico de todas as substâncias baseadas no átomo de carbono.
Exemplificando, o conhecimento, ainda que básico, das funções orgânicas nos permite afirmar, com segurança, se estamos diante de um açúcar, de uma proteína, de uma molécula de DNA, ou de uma gordura. Apesar número reduzido, as funções orgânicas são bastante plásticas, convertendo-se uma nas outras dependendo das condições ambientais, experimentais, ou metabólicas em que se encontrem. Graças a essa interconversão podemos, por exemplo, nos saciar com um suculento bife ao ponto, tendo a certeza de que o metabolismo se encarregará de transformá-lo em energia, biomoléculas, e outras coisas, essas menos suculentas. A Figura 2.1 apresenta um resumo das possibilidades de transformações de moléculas orgânicas, considerando as funções orgânicas conhecidas.

2.2 Detalhes
A Bioquímica constitui um ramo das Ciências que trabalha com os aspectos químicos da vida. A química da vida, por sua vez, é a mesma química dos elementos, compostos e reações. Neste sentido, compreender como um cálice de vinho é metabolizado no organismo humano, ou como o álcool naquele contido pode gerar toda a dor de cabeça experimentada ao dia seguinte passa, obrigatoriamente, pelo entendimento básico das funções químicas e, em especial, das funções orgânicas e de suas interconversões.
As principais funções orgânicas são formadas pelos alcanos, alquenos, alquinos, aromáticos, álcoois e fenóis, tióis e sulfetos, aldeídos, ácidos carboxílicos, éteres, ésteres, aminas e amidas, haletos de alquila, e anidridos. Cada função possui radicais específicos que a permite ser identificada a partir de uma rápida análise em uma estrutura química qualquer dela derivada (representação ou fórmula de Lewis). Além disso, o conhecimento das funções orgânicas permite predizer propriedades físicas tais como solubilidade, massa molecular específica, densidade, e reatividade química dos compostos dela originados. Saber distinguir, por exemplo, um açúcar de uma proteína, ou uma gordura de um hormônio também passa, obrigatoriamente, pelo conhecimento, ainda que fundamental, das funções orgânicas.
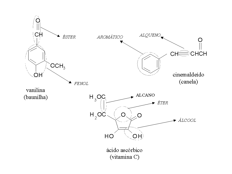
Por limitações da natureza deste texto, será apresentado apenas um conjunto de características principais de cada função orgânica mencionada. Não obstante, o leitor deve sempre ter em mente a capacidade quase ilimitada de interconversões entre as mesmas, o que permite compreender as inter-relações do metabolismo humano, vistas sob a óptica bioquímica, e a dor de cabeça induzida pelo consumo alcoólico do início deste texto (conversão da função álcool em aldeído, ou vinho vagabundo, mesmo). A Figura 2.2 que segue apresenta as principais funções orgânicas, seus radicais, características principais e exemplos encontrados.

E a Figura 2.3 apresenta algumas fórmulas estruturais de compostos bioquímicos, assinalando suas principais funções orgânicas.
