
14 Metabolic Networks
14.1 Biochemical pathways of metabolism
\[ A \begin{array}{c} _{k}\\ \rightarrow \\ ^{}\end{array} B \tag{14.1}\]
\[ v=\frac{dy}{dx}=-\frac{dA}{dt}=\frac{dB}{dt} \tag{14.2}\]
\[ \frac{dA}{dt}= -k*A;\\ \frac{db}{dt} = k*B \tag{14.3}\]
\[ dA=-k*A*dt;\\ dB=k*A*dt \tag{14.4}\]
Some differential equations can be solved analytically, such as those involving bacterial exponential growth:
\[ \frac{dN}{dt}=-k*N; \, N(t) = N_0*e^{-kt}; (N=N_0 \,em \, t=0) \tag{14.5}\]
14.2 Numerical solution for a system of differential equations
R (deSolve, pracma, lsoda), some simple systems can be solved using the basic installation packages:The simplest procedure uses the Euler method. The basic idea of the method consists of integrating a differential function of infinitesimal variation in the independent variable (in this case, time), for a real relation, and from given initial values. Simply put, the value of the function will correspond to the increase of the increment dy for each interval dx, from the relation of each reaction involved in the transformation of the compounds. Example for the reactions present in Equação 14.4:
# Solution of differential equations for conversion A-->B
k <- 0.5 # kinetic constant of catalysis
dt <- .005
tmax <- 3 # time interval & maximum time
t <- seq(0, tmax, dt) # time vector
n <- tmax / dt + 1 # no. of simulation points (it is necessary to add 1 so that the vectors have the same size)
x <- matrix(rep(0, 2 * n), nrow = 2, ncol = n) # construction of the matrix of one row for each compound, and one column for each time dt
x[1, 1] <- 1
x[2, 1] <- 0 # initial concentration values
for (i in 2:n) {
dA <- -k * x[1, i - 1] * dt # dA
dB <- k * x[1, i - 1] * dt # dB
x[1, i] <- x[1, i - 1] + dA # variation in A with increase in dA x[2, i] <- x[2, i - 1] + dB # variation in B with increase in dB # loop that adds the value of the new content to each interval dt composite
}
plot(t, x[1, ],
type = "l", lty = 1,
xlab = "time, s", ylab = "[species], M", ylim = c(0, 1.025),
bty = "l"
) # plot of composite 1
lines(t, x[2, ], lty = 2, col = 2) # add plot of composite 2
legend(
x = 2, 5, y = 1, legend = c("A", "B"), col = c(1, 2),
cex = 1, lty = c(1, 2)
)
\[ A \begin{array}{c} _{k}\\ \rightleftharpoons\\ ^{km} \end{array} B \tag{14.6}\]
\[ dA=-k*A*dt+km*B*dt;\\ dB=k*A*dt-km*B*dt \tag{14.7}\]
R:k <- 0.5
km <- 0.5 # kinetic constants of catalysis
dt <- .005
tmax <- 10 # time interval & maximum time
t <- seq(0, tmax, dt) # define time vector
n <- tmax / dt + 1 # define no. of points
x <- matrix(rep(0, 2 * n), nrow = 2, ncol = n) # build a matrix with one
# row for each compound, and one column for each time dt
x[1, 1] <- 1
x[2, 1] <- 1 # initial concentration values
for (i in 2:n) {
dA <- -k * x[1, i - 1] * dt + km * x[2, i - 1] * dt
dB <- k * x[1, i - 1] * dt - km * x[2, i - 1] * dt
x[1, i] <- x[1, i - 1] + dA
x[2, i] <- x[2, i - 1] + dB
# loop that adds to each interval dt the new concentration value for
# each compound
}
plot(t, x[1, ],
type = "l", lty = 1,
xlab = "time, s", ylab = "[species], M", ylim = c(0, 2), bty = "l"
) # graph of compound 1
lines(t, x[2, ], lty = 2, col = 2) # addition of graph of compound 2
legend(
x = 2, 5, y = 2, legend = c("A", "B"), col = c(1, 2), cex = 1,
lty = c(1, 2)
)
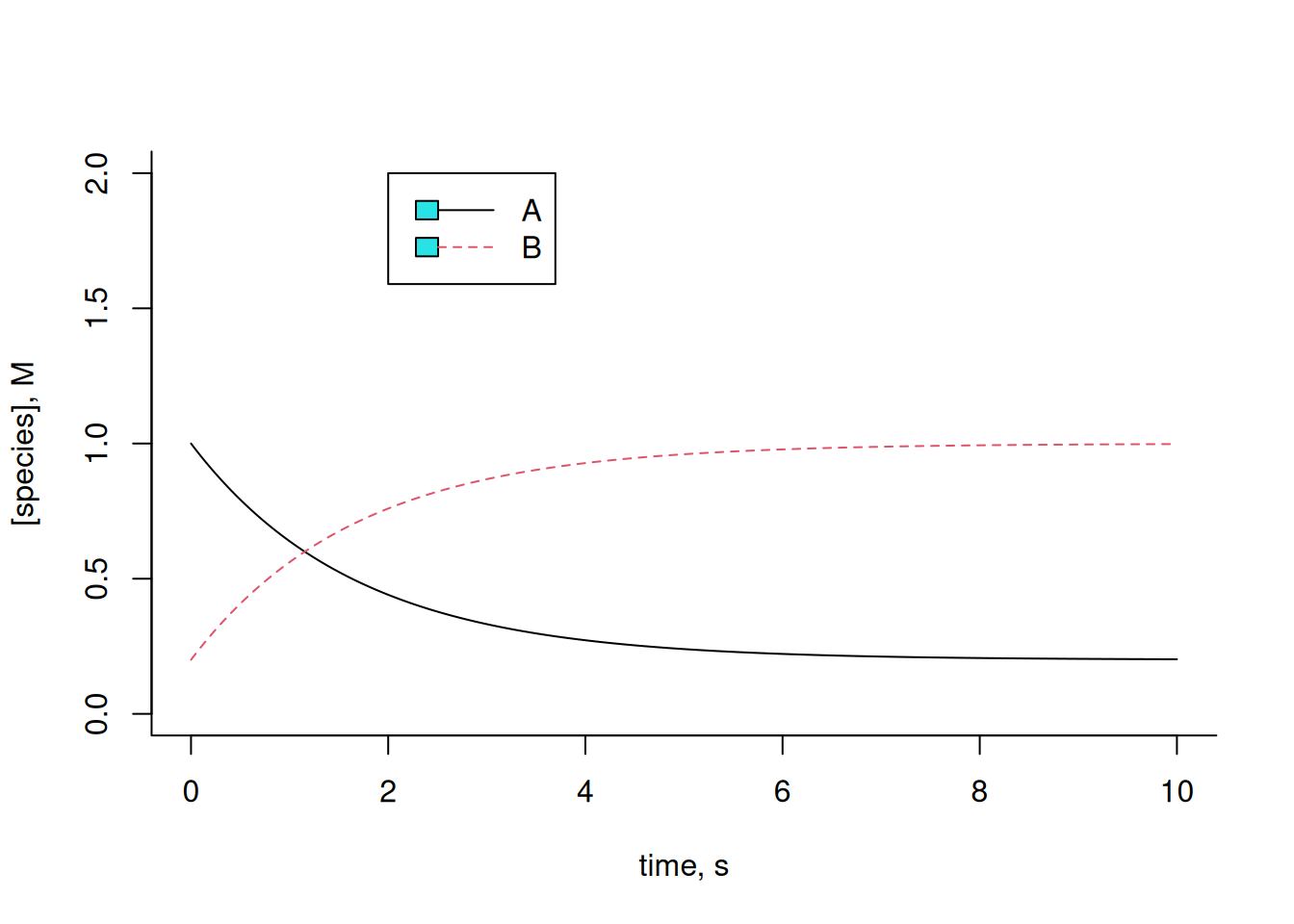
# Example of conversion A-->B
k <- 0.5
km <- 0.1 # kinetic constants of catalysis
dt <- .005
tmax <- 10 # time interval & maximum time
t <- seq(0, tmax, dt) # define time vector
n <- tmax / dt + 1 # define no. of points
x <- matrix(rep(0, 2 * n), nrow = 2, ncol = n) # build matrix of
# one row for each compound, and one column for each time dt
x[1, 1] <- 1
x[2, 1] <- 0.2 # initial concentration values
for (i in 2:n) {
dA <- -k * x[1, i - 1] * dt + km * x[2, i - 1] * dt
dB <- k * x[1, i - 1] * dt - km * x[2, i - 1] * dt
x[1, i] <- x[1, i - 1] + dA
x[2, i] <- x[2, i - 1] + dB
# loop that adds to each interval dt the new concentration value for
# each compound
}
plot(t, x[1, ],
type = "l", lty = 1,
xlab = "time, s", ylab = "[species], M", ylim = c(0, 2), bty = "l"
) # graph of compound 1
lines(t, x[2, ], lty = 2, col = 2) # addition of graph of compound 2
legend(x = 2, 5, y = 2, legend = c("A", "B"), col = c(1, 2), cex = 1, lty = c(1, 2))
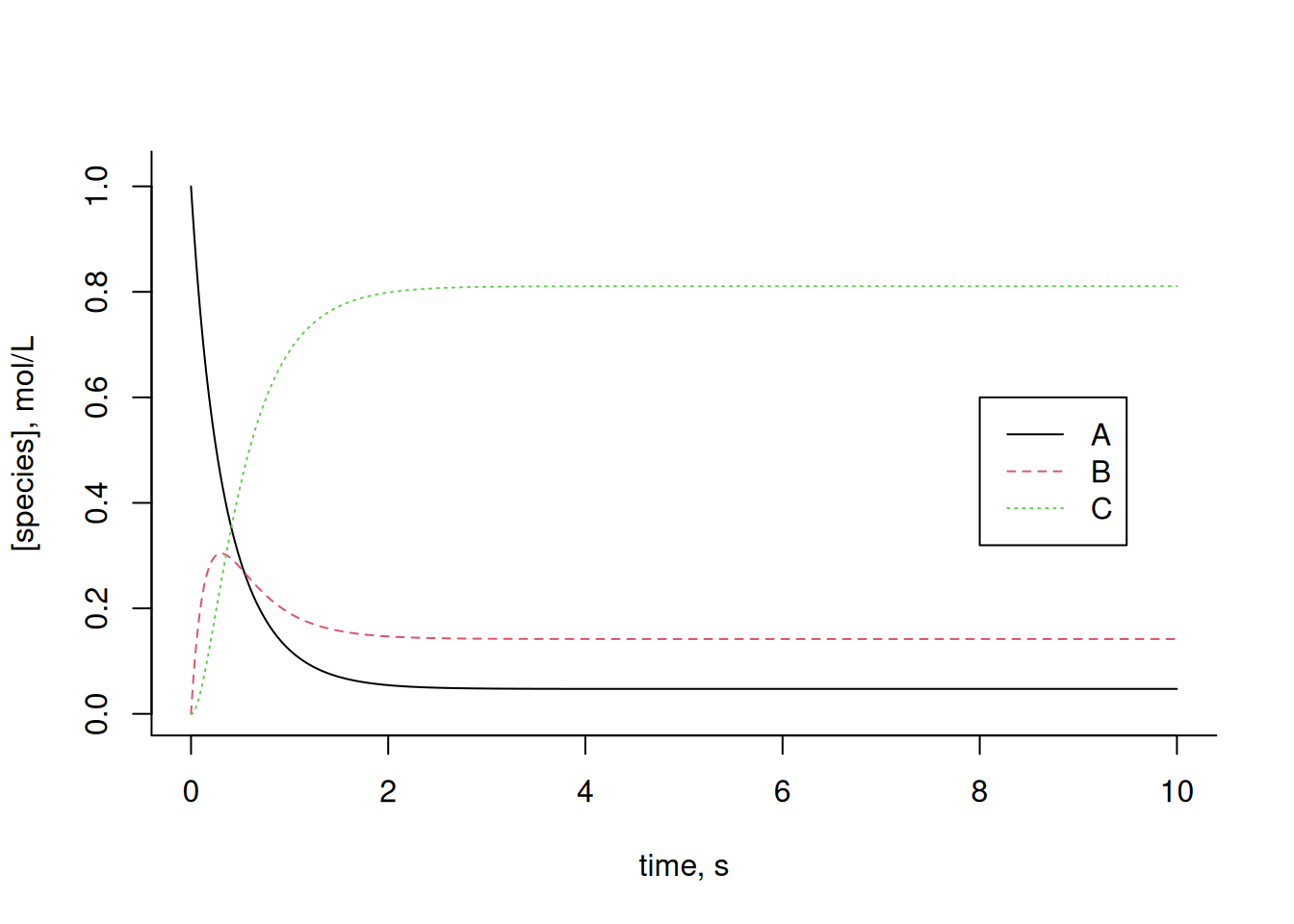
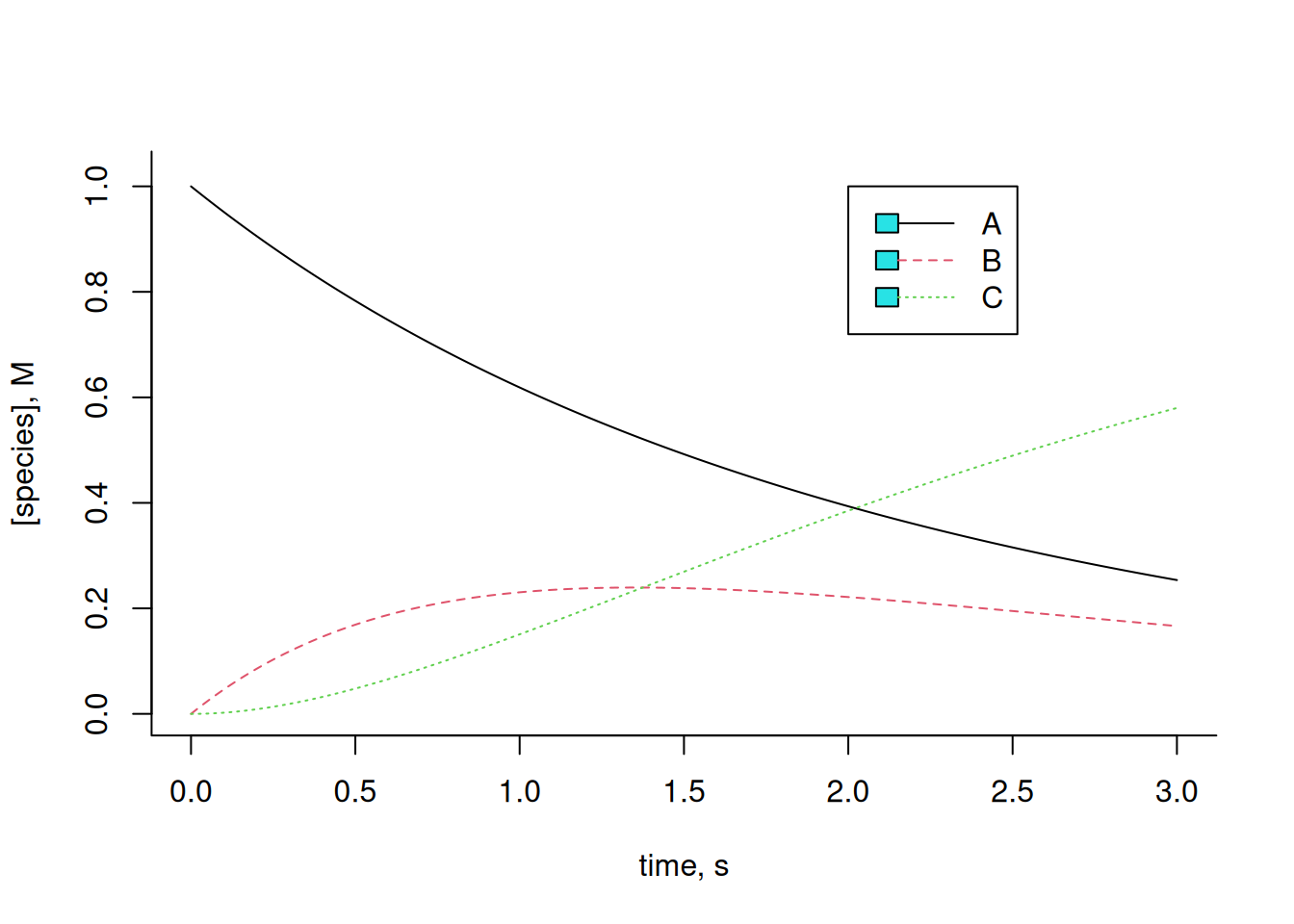
\[ A \begin{array}{c} _{k1}\\ \rightleftharpoons\\ ^{km1} \end{array} B \begin{array}{c} _{k2}\\ \rightarrow \\ ^{}\end{array}C \tag{14.8}\]
\[ dA=-k1*A*dt+km1*B*dt;\\ dB=k1*A*dt-km1*B*dt-k2*B*dt;\\ dC=k2*B \tag{14.9}\]
# Euler solution for 3-compound kinetics
k1 <- 0.5
km1 <- 0.1
k2 <- 1 # kinetic constants of catalysis
dt <- .005
tmax <- 3 # time interval & maximum time
t <- seq(0, tmax, dt) # define time vector
n <- tmax / dt + 1 # define no. of points
x <- matrix(rep(0, 3 * n), nrow = 3, ncol = n) # build matrix of
# one row for each compound, and one column for each time dt
x[1, 1] <- 1
x[2, 1] <- 0
x[3, 1] <- 0 # initial concentration values
for (i in 2:n) {
dA <- -k1 * x[1, i - 1] * dt + km1 * x[2, i - 1] * dt
dB <- k1 * x[1, i - 1] * dt - (km1 + k2) * x[2, i - 1] * dt
dC <- k2 * x[2, i - 1] * dt
x[1, i] <- x[1, i - 1] + dA
x[2, i] <- x[2, i - 1] + dB
x[3, i] <- x[3, i - 1] + dC # loop that adds to each interval dt
# the new content value for each compound
}
plot(t, x[1, ],
type = "l", lty = 1,
xlab = "time, s", ylab = "[species], M", ylim = c(0, 1.025), bty = "l"
) # plot of compound 1
lines(t, x[2, ], lty = 2, col = 2) # add plot of compound 2
lines(t, x[3, ], lty = 3, col = 3) # add plot of compound 3
legend(x = 2, 5, y = 1, legend = c("A", "B", "C"), col = c(1, 2, 3),
cex = 1, lty = c(1, 2, 3))
\[ A \begin{array}{c} _{k1}\\ \rightleftharpoons\\ ^{km1} \end{array} B \begin{array}{c} _{k2}\\ \rightleftharpoons\\ ^{km2}\end{array}C \tag{14.10}\]
R suggest:# Euler solution for reversible kinetics of 3 compounds
# constants of the forward reaction
k1 <- 3
km1 <- 1
k2 <- 4
km2 <- 0.7
dt <- .005
tmax <- 10
t <- seq(0, tmax, dt)
n <- tmax / dt + 1
x <- matrix(rep(0, 3 * n), nrow = 3, ncol = n)
x[1, 1] <- 1
x[2, 1] <- 0
x[3, 1] <- 0
for (i in 2:n) {
dA <- -k1 * x[1, i - 1] * dt + km1 * x[2, i - 1] * dt
dB <- k1 * x[1, i - 1] * dt - (km1 + k2) * x[2, i - 1] * dt +
km2 * x[3, i - 1] * dt
dC <- k2 * x[2, i - 1] * dt - km2 * x[3, i - 1] * dt
x[1, i] <- x[1, i - 1] + dA
x[2, i] <- x[2, i - 1] + dB
x[3, i] <- x[3, i - 1] + dC
}
plot(t, x[1, ],
type = "l", lty = 1,
xlab = "time, s", ylab = "[species], mol/L",
ylim = c(0, 1.025), bty = "l"
)
lines(t, x[2, ], col = 2, lty = 2)
lines(t, x[3, ], col = 3, lty = 3)
legend(x = 8, y = 0.6, legend = c("A", "B", "C"), col = c(1, 2, 3),
cex = 1, lty = c(1, 2, 3))

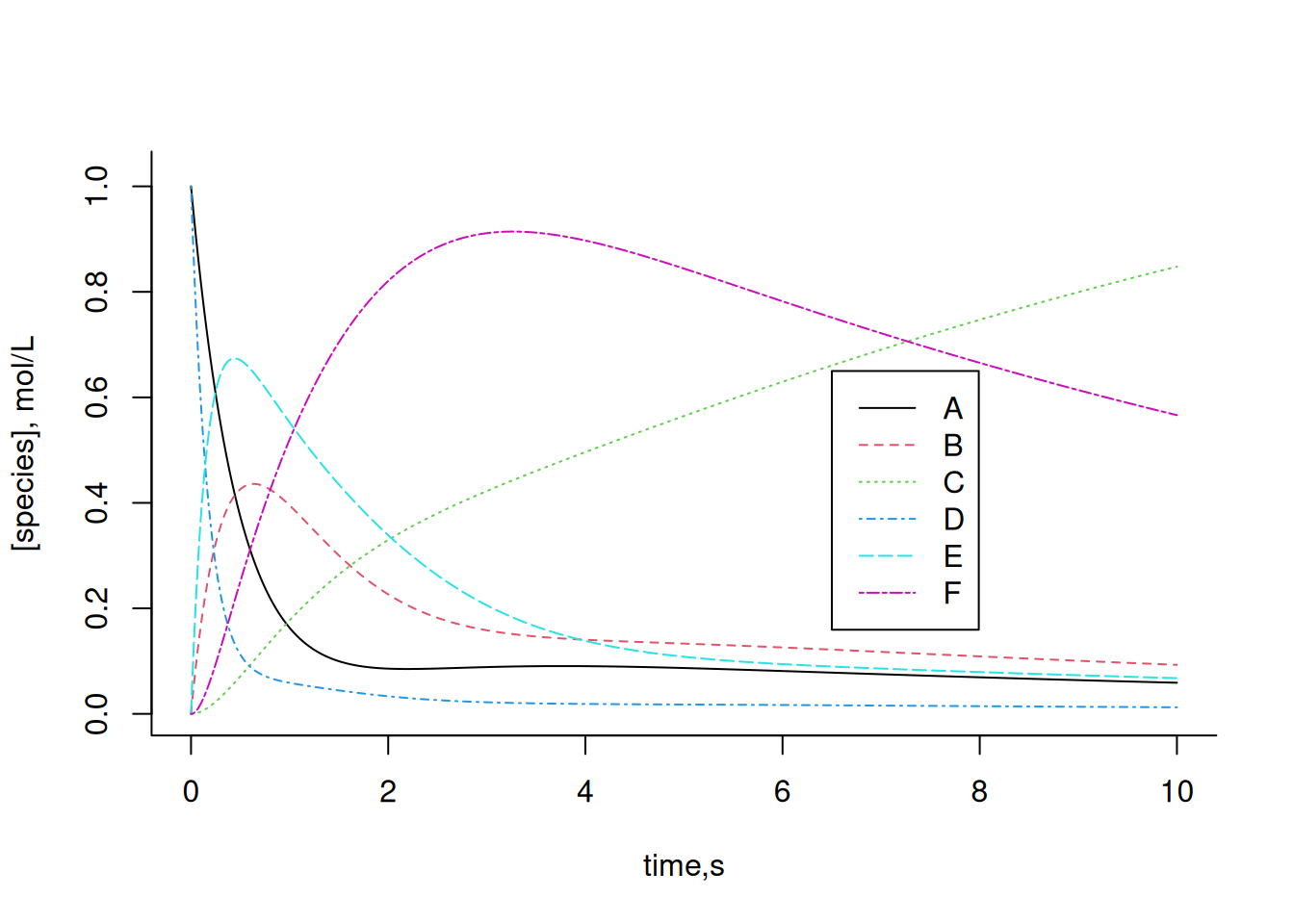
\[ dA=-k1*A*dt+ka*F*dt;\\ dB=k1*A*dt+km3*D*dt-k3*B*dt-k2*B*dt-ki*E*dt;\\ dC=k2*B*dt;\\ \tag{14.11}\]
\[ dD=k3*B*dt-km3*D*dt-k4*D*dt;\\ dE=k4*D*dt-k5*E*dt;\\ dF=k5*E*dt-ka*F*dt \tag{14.12}\]
# Solution for metabolic pathway with allosteric inhibition and activation
# Kinetic and allosteric constants
k1 <- 2
k2 <- 0.5
k3 <- 0.7
km3 <- 0.3
k4 <- 5
k5 <- 1
ki <- 0.3 # inhibition constant
ka <- 0.2 # activation constant
dt <- .005
tmax <- 10
t <- seq(0, tmax, dt)
n <- tmax / dt + 1
x <- matrix(rep(0, 6 * n), nrow = 6, ncol = n)
# Initial values of compounds
x[1, 1] <- 1
x[2, 1] <- 0
x[3, 1] <- 0
x[4, 1] <- 1
x[5, 1] <- 0
x[6, 1] <- 0
for (i in 2:n) {
# system of equations inserted into the interval matrix
dA <- -k1 * x[1, i - 1] * dt + ka * x[6, i - 1] * dt
dB <- k1 * x[1, i - 1] * dt + km3 * x[4, i - 1] * dt - k3 *
x[2, i - 1] * dt - k2 * x[2, i - 1] * dt - ki * x[1, i - 1] * dt
dC <- k2 * x[2, i - 1] * dt
dD <- k3 * x[2, i - 1] * dt - km3 * x[4, i - 1] * dt - k4 *
x[4, i - 1] * dt
dE <- k4 * x[4, i - 1] * dt - k5 * x[5, i - 1] * dt
dF <- k5 * x[5, i - 1] * dt - ka * x[6, i - 1] * dt
# Adding dy to y values
x[1, i] <- x[1, i - 1] + dA
x[2, i] <- x[2, i - 1] + dB
x[3, i] <- x[3, i - 1] + dC
x[4, i] <- x[4, i - 1] + dD
x[5, i] <- x[5, i - 1] + dE
x[6, i] <- x[6, i - 1] + dF
}
# Preparation of kinetic graphs
plot(t, x[1, ],
type = "l", lty = 1,
xlab = "time,s", ylab = "[species], mol/L",
ylim = c(0, 1.025), bty = "l"
)
lines(t, x[2, ], col = 2, lty = 2)
lines(t, x[3, ], col = 3, lty = 3)
lines(t, x[4, ], col = 4, lty = 4)
lines(t, x[5, ], col = 5, lty = 5)
lines(t, x[6, ], col = 6, lty = 6)
legend(x = 6.5, y = 0.65, legend = c("A", "B", "C", "D", "E", "F"),
col = c(1, 2, 3, 4, 5, 6), cex = 1, lty = c(1, 2, 3, 4, 5, 6))
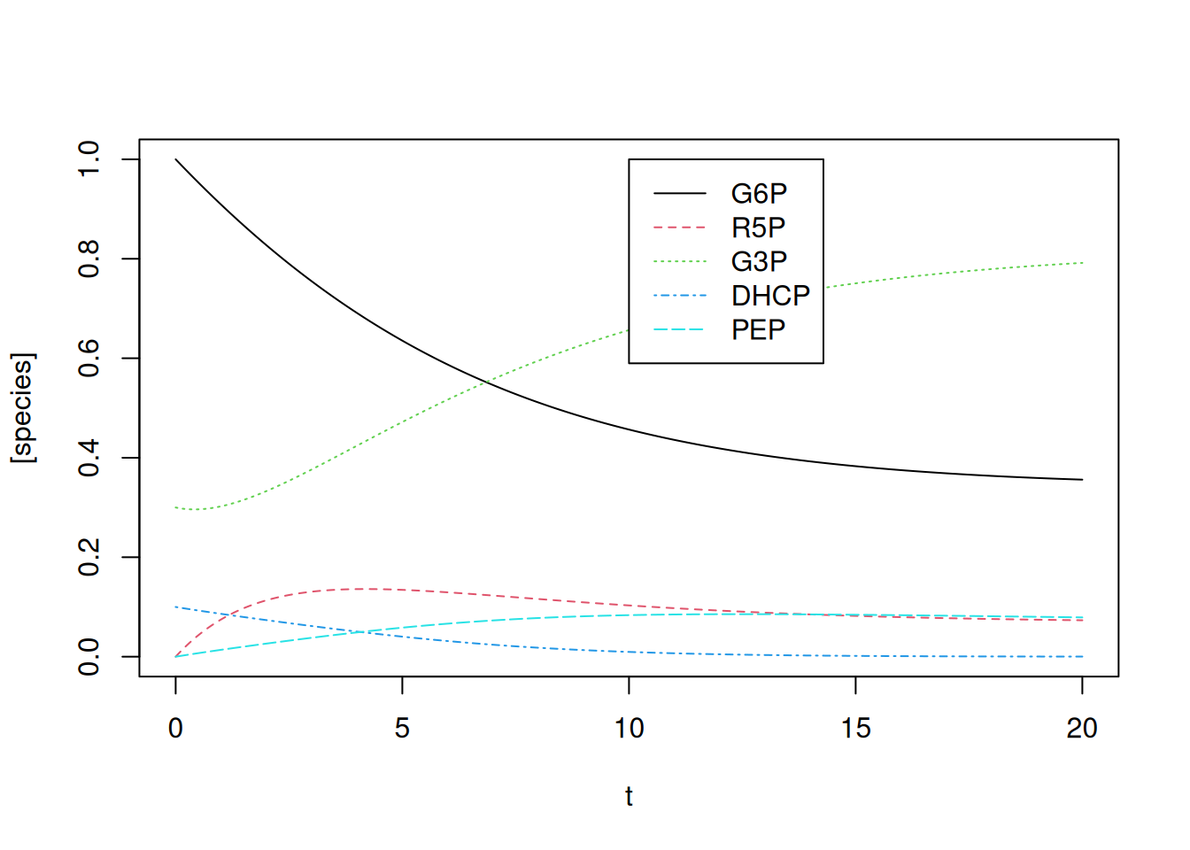
R packages, or even by systems analysis.14.3 Some reactions of glucose metabolism
deSolve package or similar to solve a system of 1st order ordinary differential equations or partial differential equations. The library aggregates functions that allow a leaner and simpler code for solving the system. Illustrating its application, here are some of the many simple relationships of the metabolic network that involves glycolysis, gluconeogenesis, and pentose pathway in cells:
\[ G6P \begin{array}{c} _{k1}\\ \rightarrow \\ ^{}\end{array} R5P\\ G3P+DHCP \begin{array}{c} _{k2}\\ \rightarrow \\ ^{}\end{array} PEP\\ 2G3P \begin{array}{c} _{k3}\\ \rightarrow \\ ^{}\end{array} 6GP\\ R5P \begin{array}{c} _{k4}\\ \rightarrow \\ ^{}\end{array} G3P\\ 2PEP \begin{array}{c} _{k5}\\ \rightarrow \\ ^{}\end{array} G6P \tag{14.13}\]
library(deSolve)
# Solution for conversion kinetics in some metabolic pathways
# Reaction parameters
k1 <- 0.1
k2 <- 0.5
k3 <- 0.05
k4 <- 0.5
k5 <- 0.2
parms <- c(k1, k2, k3, k4, k5)
# Initial values for each compound
G6P0 <- 1
R5P0 <- 0
G3P0 <- 0.3
DHCP0 <- 0.1
PEP0 <- 0
# Time interval
tmin <- 0
tmax <- 20
dt <- 0.01
time <- seq(tmin, tmax, dt)
# Function for the derivatives of the species in time
eq.dif <- function(time, x, parms) {
# compound specification
G6P <- x[1]
R5P <- x[2]
G3P <- x[3]
DHCP <- x[4]
PEP <- x[5]
# differential equations
dG6P <- -k1 * G6P + k3 * G3P^2 + k5 * PEP^2
dR5P <- k1 * G6P - k4 * R5P
dG3P <- -k2 * G3P * DHCP - k3 * G3P^2 + k4 * R5P
dDHCP <- -k2 * G3P * DHCP
dPEP <- k2 * G3P * DHCP - k5 * PEP^2
list(c(dG6P, dR5P, dG3P, dDHCP, dPEP)) # increments of species
}
# lsoda routine for ordinary differential solution
out <- lsoda(c(G6P0, R5P0, G3P0, DHCP0, PEP0), time, eq.dif, parms,
rtol = 1e-4, atol = 1e-6
)
# Output the result in vectors for each quantity (time and species)
t <- out[, 1]
G6P <- out[, 2]
R5P <- out[, 3]
G3P <- out[, 4]
DHCP <- out[, 5]
PEP <- out[, 6]
# Graphing vertical
par(mfrow = c(1, 5))
plot(t, G6P, type = "l")
plot(t, R5P, type = "l")
plot(t, G3P, type = "l")
plot(t, DHCP, type = "l")
plot(t, PEP, type = "l")
# Preparation of graph with all species
par(mfrow = c(1, 1))
plot(t, G6P, type = "l", col = 1, lty = 1, ylab = "[species]",
ylim = c(0, 1))
lines(t, R5P, type = "l", col = 2, lty = 2)
lines(t, G3P, type = "l", col = 3, lty = 3)
lines(t, DHCP, type = "l", col = 4, lty = 4)
lines(t, PEP, type = "l", col = 5, lty = 5)
legend(x = 10, y = 1, legend = c("G6P", "R5P", "G3P", "DHCP", "PEP"),
col = c(1, 2, 3, 4, 5), cex = 1, lty = c(1, 2, 3, 4, 5))
14.4 Kinetics of 6-mercaptopurine metabolism
lsoda function:# Degradation of 6-mercaptopurine and Runge-Kutta solution
library(deSolve)
# Parameters
k0 <- 5
k1 <- 10
k2 <- 10
k3 <- 5
k4 <- 1e-5
k7 <- 0.01
k8 <- 0.5
km7 <- 1
km1 <- 0.01
km2 <- 4
km3 <- 0.01
km4 <- 0.1
km8 <- 0.01
VPUR <- 0.01
VD <- 0.9
VOUT <- 1e-4
# Parameter list
parms <- c(k0, k1, k2, k3, k4, k7, k8, km7, km1, km2, km3, km4, km8,
VPUR, VD, VOUT)
# compound specification
MPex <- x[1]
MPin <- x[2]
TIMP <- x[3]
TXMP <- x[4]
TGMP <- x[5]
meTGMP <- x[6]
TITP <- x[7]
ATP <- x[8]
AMP <- x[9]
PP <- x[10]
# initial concentrations of species
reag0 <- c(MPex0 = 0.68, MPin0 = 0, TIMP0 = 0, TXMP0 = 0, TGMP0 = 0,
meTGMP0 = 0, TITP0 = 0, ATP0 = 0.2, AMP0 = 0, PP0 = 0)
# time interval definition
tmin <- 0
tmax <- 2
dt <- 0.01
time <- seq(tmin, tmax, dt)
# Function for the derivatives of each species
eq.dif <- function(time, x, parms) {
# Parameter definition
MPex <- x[1]
MPin <- x[2]
TIMP <- x[3]
TXMP <- x[4]
TGMP <- x[5]
meTGMP <- x[6]
TITP <- x[7]
ATP <- x[8]
AMP <- x[9]
PP <- x[10]
# Differential equations
dMPex <- -k0 * MPex
dMPin <- -(VPUR + k1) * MPin + k0 * MPex + km1 * TIMP
dTIMP <- k1 * MPin + km8 * TITP - (k2 + k7 * ATP + km1 + k8 * PP) *
TIMP + km2 * TXMP + km7 * TITP * AMP
dTXMP <- k2 * TIMP - k3 * TXMP * ATP - km2 * TXMP + km3 * TGMP *
AMP * PP
dTGMP <- k3 * TXMP * ATP - (k4 + VD) * TGMP - km3 * TGMP * AMP *
PP + km4 * meTGMP
dmeTGMP <- k4 * TGMP - VOUT * meTGMP - km4 * meTGMP
dTITP <- k8 * TIMP * PP - km8 * TITP + k7 * TIMP * ATP - km7 *
TITP*AMP
dATP <- -k7 * TIMP * ATP + km3 * TGMP * AMP * PP - k3 * TXMP *
ATP + km7 * TITP * AMP
dAMP <- -km3 * TGMP * AMP * PP + k3 * TXMP * ATP + k7 * TIMP *
ATP - km7 * TITP * AMP
dPP <- -k8 * TIMP * PP + km8 * TITP - km3 * TGMP * AMP * PP + k3 *
TXMP * ATP
list(c(dMPex, dMPin, dTIMP, dTXMP, dTGMP, dmeTGMP, dTITP, dATP,
dAMP, dPP)) # list of differential values for each species
}
# lsoda routine for solving differential equations ordinary
sol.eq <- lsoda(reag0, time, eq.dif, parms,
rtol = 1e-4, atol = 1e-6
)
# Isolating the result columns
t <- sol.eq[, 1]
MPex <- sol.eq[, 2]
MPin <- sol.eq[, 3]
TIMP <- sol.eq[, 4]
TXMP <- sol.eq[, 5]
TGMP <- sol.eq[, 6]
meTGMP <- sol.eq[, 7]
TITP <- sol.eq[, 8]
ATP <- sol.eq[, 9]
AMP <- sol.eq[, 10]
PP <- sol.eq[, 11]
# Creating the graph
plot(t, MPex, type = "l", xlab = "tempo, days",
ylab = "[species], umol/L")
lines(t, MPin, type = "l", col = 2, lty = 2)
lines(t, TIMP, type = "l", col = 3, lty = 3)
lines(t, TXMP, type = "l", col = 4, lty = 4)
lines(t, TGMP, type = "l", col = 5, lty = 5)
lines(t, meTGMP, type = "l", col = 6, lty = 6)
lines(t, TITP, type = "l", col = 7, lty = 7)
lines(t, ATP, type = "l", col = 8, lty = 8)
lines(t, AMP, type = "l", col = 9, lty = 9)
lines(t, PP, type = "l", col = 10, lty = 10)
legend(x = 1.5, y = 0.65, legend = c("MPex", "MPin", "TIMP", "TXMP",
"TGMP", "meTGMP", "TITP", "ATP",
"AMP", "PP"), col = c(1, 2, 3, 4,
5, 6, 7, 8,
9, 10),
cex = 0.7, lty = c(1, 2, 3, 4, 5, 6, 7, 8, 9, 10))
